研究背景
随着柔性电子学的发展,聚合物基电介质由于其固有的低损耗、灵活性、重量轻和易于加工的而被认为是制备具有优异储能性能的电介质电容器的潜在候选材料。不幸的是,作为唯一的商业聚合物介质,双轴定向聚丙烯(BOPP)的能量密度由于其低介电常数被限制在2 J/cm3左右。因此,制备具有高能量密度的聚合物电介质材料具有重要研究意义。
文章要点
在本研究中制备了超小(~8.5 nm)胺化碳化聚合物点(CPDs),并以PMMA为载体,将CPDs引入PVDF的非定形区域。由于PVDF的结晶诱导相分离,CPDs被选择性地引入PVDF的非晶区域,从而提高了非晶区域的纠缠密度。同时,CPDs对非晶区具有良好的电子亲和力和捕获载流子。在这种情况下,PVDF的击穿强度从PVDF/PMMA共混物的507.8 MV/m提高到复合材料的652 MV/m,储能密度从5.7 J/cm3提高到12.1 J/cm3。与其他策略来提高能源存储相比,这种策略—选择性定位CPDs专注于提高非晶区的耐击穿能力,抑制了电树在非晶区的生长,同时保持了PVDF晶体相带来的高极化,最终实现了介电常数和击穿强度之间的平衡。显然,这项工作不仅证明了一种制备高耐压介电复合材料的新方法,而且在储能方面具有巨大的应用潜力。
图文展示

图1. (a) 水热法制备CPDs的反应机理图。CPDs的微观形态特征:(b1)CPDs的TEM图像,(b2)TEM图像的FFT图像和相应的HR-TEM图像;(c1)CPDs的AFM振幅图和相应的测量高度轮廓,(c2)基于AFM图像和CPDs分散液的数码照片的CPDs粒径分布图。

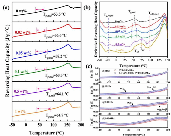
图2. (a) 复合薄膜的TMDSC曲线;(b)由TMDSC得到的相应导数曲线;(c) 0 wt%和0.1 wt%复合材料在1、10、100和1000 Hz下Tan d 随温度的变化曲线。

图3. 复合材料薄膜的击穿强度及其作用机理的研究。(a) Weibull分布和(b)不同负载量CPDs复合材料相应特征击穿强度的直方图;(c)复合膜的TSDC谱图;(d)PVDF/PMMA共混物非晶区域的载流子迁移示意图和(e)CPDs增强PVDF/PMMA共混物非晶区域的机理示意图。

图4. (a) I-E曲线;不同CPDs载荷下复合材料最大电场下的(b) D-E循环,(c) 为纯PVDF/PMMA共混物和复合材料的Dm-Dr值;(d) 外加电场下的能量效率和放电能量密度。
本工作以“Selective localization of carbonized polymer dots in amorphous phase towards high breakdown strength and energy density of PVDF-based dielectric composites”为题发表在复合材料类一区期刊Composites Part B: Engineering上。论文的第一作者为kaiyun开云官方2020级硕士毕业生陆振杰和2022级硕士生胡文金,通讯作者为kaiyun开云官方杨静晖副教授和王勇教授。

杨静晖,副教授,博士生导师,主要从事聚合物基复合材料的多功能与高性能化研究。主持数项国家自然科学基金、四川省科技厅重点研发项目以及企业项目,在Chem. Eng. J.、ACS Appl. Mater. Interfaces、Macromolecules等期刊发表论文30余篇,获2021年度四川省技术发明二等奖(排名第三),入选2022/2023年度斯坦福全球前2%顶尖科学家榜单、四川省学术和技术带头人后备人选等。

王勇,教授、博士生导师、德国洪堡学者,主要从事结构/功能一体化先进高分子复合材料的研究。主持国家自然科学基金(5项)、教育部新世纪优秀人才基金、四川省青年科技创新团队、四川省科技厅重大成果转化项目、四川省杰出青年基金等项目30余项;在Prog. Poly. Sci.、Macromolecules等期刊发表论文300余篇,他引9000余次;授权发明专利24件。研究成果获得2021年度四川省技术发明二等奖、2018年度四川省自然科学二等奖、2006年度全国百篇优秀博士论文提名论文等。